PM --> ENGLISH HOME PAGE --> TOPICS AND AREAS --> NEWS --> PSYCHOBYOLOGY AND NEUROSCIENCE


PSYCHOMEDIA
SCIENCE AND THOUGHT
Psychobiology and Neuroscience



Lo spazio quadridimensionale è un concetto simmetrico, non in grado di risolvere l'anomala di base da cui deriva la struttura matematica stessa. Un accenno al ruolo dei tensori

Prof. Roberto Ettore Bertagnolio



L'unificazione SPAZIO TEMPO, della Relatività Generale, è fra gli ultimi tentativi di salvare la visione SIMMETRICA DELL'UNIVERSO (da Minkowski ad Einstein e oltre fino ai fisici della rottura della simmetria). L'impossibilità di risolvere matematicamente il 3D, frutto dell'anomalia simmetrica, porta la logica della struttura stessa ad aggiungere una dimensione e far si che di nuovo il problema rientri nella logica della struttura simmetrica.
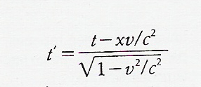
L'equazione di Lorenz giustifica il 4D
LA QUARTA EQUAZIONE DI LORENZ:

QUEST'EQUAZIONE DIMOSTRA L'AFFINITÀ DEL CONTINUO QUADRIDIMENSIONALE CON IL CONTINUO TRIDIMENSIONALE EUCLIDEO (il tridimensionale diventa una costante irrinunciabile ubbidiente al DOGMA: IL MONDO é TRIDIMENSIONALE (le nuove dimensioni si possono aggiungere ma non togliere).

SPAZIO D4 o di Minkowski

Fonte Wikipedia

LA CURVATURA DELLO SPAZIO-TEMPO E L'ARMONIA DELL'UNIVERSO
La gravità "non è la curvatura" (come dice Einstein) anche se essa contribuisce alla percezione della stessa. La visione effettiva di Einstein si regge su concetti contradditori. Ad esempio per non andare contro Mach in questo caso ed in altri, propone una soluzione ambigua che è quella di concepire uno spazio: STATICO, FINITO MA ILLIMITATO. Riguardo alla staticità è già stato smentito quando si dimostrò che l'universo era in espansione (Hubble), ma questo è stato riconosciuto anche da Einstein (la peggior cantonata della mia vita) il resto (finito ma illimitato) è una contraddizione interna all'anomalia percettiva, mentre la spazio-temporalità come concetto Einsteiniano non regge (lo affermava già Durac), esso è da intendersi come salvezza estrema della simmetria, la sua garanzia consolidata. Il tridimensionale non può essere superato sommando 3D (S)+1D(T), ma soltanto risolvendo l'anomalia connessa al 3D, ma questo è impossibile perché dipende dall'evoluzione strutturale intersecata con quella della specie (non deterministica). La simmetria è il frutto più evidente di tale anomalia perché è un concetto che deriva direttamente dal simbolismo innato e a sua volta dal dualismo strutturale, che a sua volta genera la percezione del tridimensionale. Einstein da alla simmetria una valenza "trascendentale" da cui si deducono tutte le leggi fisiche e non il contrario. Ogni geometria per Einstein è definita dalle sue simmetrie, per questo non può accettare teorie fisico-cosmologiche senza l'elemento fondante di quest'ultima. Alla fine della vita si è arreso definitivamente alla simmetria delle simmetrie come costruzione ontologica dell'universo, per questo è morto senza essere riuscito a unificare la Relatività e la Quantistica.

I limiti percettivo-cognitivi fondamentali su cui si regge la Relatività.
1-la staticità dell'Universo.
2-la dimensione spaziale finita ma ad un tempo illimitata.
3-il legame spazio-tempo ,quadridimensionale.
4-la curvatura dello spazio. (vedere miei scritti su le scienze web news o psycomedia).

Riguardo al primo punto è già stato risolto con la prova certa dell'espansione dell'Universo (1931-Hubble). Fu riconosciuto anche da Einstein, dimostrando una onestà intellettuale non comune.
Per quanto riguarda il punto 2 e il 3, i limiti di questa visione contraddittoria è da far risalire al discorso psicologico - percettivo e alle sue profonde anomalie(1). Ci sono voluti 100 anni per capire che anche gli altri due punti sono errori, ma ci voleva un secolo di Neuroscienza, di psicologia cognitiva e quant'altro per esserne convinti. Attualmente gli astronomi sono quelli più restii a slegarsi dalla verità oggettiva della visione, non hanno ancora capito che l'errore non dipende dal telescopio ma dall'occhio che guarda dentro. Il concetto di curvatura dello spazio nasce da queste anomalie congenite.
*vedere i miei scritti sul web.
Il terzo punto è il punto più disastroso perché anche nelle recenti ricerche dette sulla rottura spontanea della Simmetria, si viaggia ancora con lo stesso bavaglio, e per esso vale il discorso fatto in precedenza. Einstein non può 100 anni prima degli studi odierni mettere in discussione il 3D, così come non può credere sino in fondo nel concetto di "INFINITO"(2) riguardo l'Universo, lo risolve con la CURVATURA DELLO SPAZIO-TEMPO e gli esperimenti del 19 al largo della Guinea Spagnola gli danno apparentemente ragione, però non si tiene conto della modifica della legge gravitazionale e di quanto incide quest'ultima sulla anomalia percettiva.

Approfondimento del terzo limite percettivo relativistico

Le basi del "quadridimensionale relativistico" sono radicate nel tridimensionale, la dimensione aggiunta serve per far tornare i conti e i conti sono una difesa a oltranza di un Universo SIMMETRICO. Il tridimensionale rimane radicato alla Relatività. Né Minkowski con le sue costruzioni matematiche, né Einstein lo evitano. Come dice J. Barbour "inoltre per dare qualsiasi contenuto alla Relatività, dobbiamo, quasi paradossalmente, proporre un'universalità di cose tridimensionali" (3) Einstein era ossessionato dall'immaginazione di un mondo ricco di bellissime simmetrie in cui "Dio non gioca i dadi".


EINSTEIN E LE SUE CONVIZIONI SULLO SPAZIO-TEMPO

Lo spazio - tempo di Einstein è curvato dalla gravità (anzi gravità e curvatura si identificano). Quest'idea in Einstein mette d'accordo Mach con Minkowski e salva "capra e cavoli" perché da un lato mantiene la contraddizione di Mach, che consiste ad un tempo di avere uno spazio finito ma illimitato, dall'altro riesce ad inserire la quadridimensionalità di Minkowski salvaguardando così la sua ossessione, cioè il concetto di SIMMETRICO.


IL TENSORE DI GREGORIO RICCI-CURBASTRO, NON GIUSTIFICA LA CURVATURA DELLO SPAZIO

(Einstein usa i Tensori perché sono adeguati a una Teoria fisica indipendente da punti di riferimento assoluti, nell'intenzione di Ricci hanno la possibilità di essere usati per costruire equazioni covarianti rispetto a un qualsivoglia cambiamento di coordinate-citato da F. Toscano).
L'equazione tensoriale del campo gravitazionale

Equazione(240).
Il tensore gravitazionale formato dal tensore metrico rappresenta la geometria Spazio-Tempo, quello di Ricci serve a calcolare la curvatura dello spazio-tempo.
L'equazione in se stessa può essere decifrata in questo modo: Lo Spazio-Tempo agisce su materia-energia, a sua volta quest'ultima agisce sulla curvatura dello spazio. I tensori esistevano già prima della Relatività. Per Einstein essi andavano a "pennello", è uno strumento formale potente che dimostra che la realtà matematica che conosciamo nasce indipendentemente dal mondo della fisica teorica, poi si appropria di quest'ultima ed impone ad essa la sua logica indipendente e pretende che quest'ultima sia l'unica logica e l'unica realtà, e fu così che Einstein "Prese dal bancone, in offerta speciale, un bellissimo strumento di tensore di Ricci" (4), come afferma Julian Barbour.
Qui abbiamo la formazione di una equazione fondata sull'anomalia originaria giustificata dai due TENSORI. Spazio-tempo sancisce il principio del quadridimensionale ed il TENSORE di Ricci, che determina a sua volta, misurandola, la curvatura. Entrambe salvano il sogno di Einstein, il principio della covarianza, questa bellissima scultura dell'universo, che corrisponde alla Simmetria. Il tutto è fondato su una percezione anomala e sulle contraddizioni basilari (della specie), il cui precipitato primo del concetto di simmetria è il Tridimensionale della visione. Da questo punto di vista, cioè considerando un punto dei partenza fittizio (la spazio-temporalità quadridimensionale del reale) si tratta di giustificarla matematicamente. I tensori servono a questo, a giustificare la simmetria del reale e la sua curvatura, a giustificare il frutto della simmetria derivata dalla percezione anomala, cioè il tridimensionale. Tutta la fisica moderna si regge su una struttura matematico-greometrica che si adopera per risolvere inutilmente quel tridimensionale ingombrante frutto di un'anomalia percettiva di base.


LA SVOLTA TENSORIALE é UNA SVOLTA A DIFESA DELLA COVARIANZA, CIOé A DIFESA, IN ULTIMA ANALISI, DELLA SIMMETRIA.

La caratteristica principale dei tensori di Ricci risiede ( F. Toscano 168) "nella possibilità di usarli per costruire equazioni covarianti rispetto a un qualsivoglia cambiamento di coordinate". Si nota qual è l'obbiettivo principale della svolta tensoriale di Ricci che poi sono anche quelle di Einstein: costruire strumenti adeguati alla difesa a tutti i livello del concetto di SIMMETRIA e l'indipendenza delle equazioni dalla scelta delle variabili. Queste ultime contengono sempre in sè determinati sistemi di funzioni, cioè TENSORI. Questo è tutto quello che serviva ad Einstein e che ha tirato giù dal "bancone". Come dice toscano, "Ricci arrivò a definire i tensori" che non sono invarianti rispetto a un passaggio di coordinate ma sono soggetti a leggi di trasformazione particolarmente utili ed efficaci: l'invarianza è nelle relazioni che legano le quantità tensoriali, non nei tensori"(5).
Abbiamo già discusso in altre occasioni sullo spazio-tempo di Minkowski e sulla necessità della curvatura, ovvero la necessità logica di rendere non euclidea in Einstein il concetto di Minkowski. A questo punto per Einstein era una necessità "farsi prestare" da Gauss le COORDINATE CURVILINEE. Questo sempre per essere coerente al "PRINCIPIO DI COVARIANZA GENERALE, e le equazioni devono essere "equazioni covarianti".


IL RUOLO DEL TENSORE DI RICCI IN EISTEIN.

Una legge covariante per essere tale in Einstein doveva determinare la curvatura Spaziotemporale, solo così manteneva il principio covariante -simmetrico. Il tensore di Ricci serve matematicamente a giustificare questo principio. I tensori servono per salvare la covarianza nelle equazioni. Dimostrare come fece Einstein che il tensore deve essere uguale a 0, vuol dire dimostrare che nello spazio vuoto l'azzeramento del Tensore coincide con la legge Covariante che andava cercando. Il principio della COVARIANZA GENERALE non ha alcun fondamento concreto, come venne concepito da Einstein, ma era solo una necessità della "matematica formale", una matematica che esisteva già prima della relatività e quando l'ha scoperto gridò "al miracolo". Il fine di Einstein era di formulare una EQUAZIONE COVARIANTE, anche se di una covarianza limitata, ovvero limitata se la mettiamo in rapporto a una categoria di trasformazioni e coordinate; il contenuto di tale equazione l'abbiamo già descritto così, come abbiamo descritto i tensori che la formano. Una questione è certa: la "recinzione" del mondo deve essere SIMMETRICA e per difendere questo principio base ancora dei fisici odierni, la ricerca va in questo senso, bisogna sempre sacrificare la REALTÀ PER DIFENDERE IL FORMALISMO.


Note:
1) Mio schema del pensiero logico simbolico anche in psycomedia .
2) mio scritto su finito ed infinito su la scienzewebnews
3) J. barbour, la fine del tempo (in particolare dal cap. VIII all'IX)ed. Einaudi, 1999 To.
4) ibidem pag. 164.
5) Fabio Toscano, il genio e il gentiluomo, pag. 172, ed Sironi, 2004 MI


PM --> ENGLISH HOME PAGE --> TOPICS AND AREAS --> NEWS --> PSYCHOBYOLOGY AND NEUROSCIENCE