PM
--> HOME PAGE ITALIANA
--> ARGOMENTI ED AREE
--> NOVITÁ
--> CENTRI RIABILITAZIONE
|
PSYCHOMEDIA
|
TERAPIA NEL SETTING ISTITUZIONALE
Reparti Ospedalieri e SPDC
|
La contenzione fisica nei Servizi Psichiatrici di Diagnosi e Cura
dell'area metropolitana di Roma
Pietro Sangiorgio e Cinzia Sarlatto
Abstract. A partire dalla legge istitutiva dei manicomi (1904), fino ai nostri giorni, l'eliminazione della contenzione meccanica, nella gestione dei pazienti psichiatrici, ha costituito un obiettivo e un indicatore di qualità della psichiatria italiana. Per verificare se e in che misura questo obiettivo resti, ancora oggi, attuale e significativo, nonostante l'uso sempre più diffuso degli psicofarmaci nella pratica clinica, il Coordinamento dei Servizi Psichiatrici di Diagnosi e Cura della Regione Lazio ha promosso una ricerca, sia sull'uso e le caratteristiche della contenzione meccanica nelle situazioni d'emergenza, sia sui fattori di rischio che la possono determinare. I risultati della ricerca hanno messo in rilievo la notevole diffusione della contenzione, come pratica terapeutico-assistenziale d'emergenza, e una notevole variabilità nella frequenza e nella durata della stessa nei vari SPDC. Infine è stato statisticamente dimostrata l'influenza significativa di una serie di fattori ambientali, sia a livello di reparto, sia a livello di contesto territoriale, nel determinare il ricorso alla contenzione.
INTRODUZIONE
Ai primi del Novecento, epoca in cui lo Stato italiano si dava la sua prima organica legislazione psichiatrica, la mozione conclusiva del XII Congresso della Società Italiana di Freniatria, ispirata da E. Belmondo, auspicava, e profetizzava, "...che si attui anche in Italia, come ormai nella maggior parte delle altre Nazioni, l'abolizione dei mezzi di contenzione per gli alienati ...".
Pochi anni dopo, nel 1909, il Regolamento applicativo della legge manicomiale del 1904, all'art. 60, dichiarava espressamente la volontà del legislatore di abolire, o almeno ridurre, i mezzi di contenzione, e sanciva la limitazione dell'uso della contenzione a "situazioni eccezionali", e solo previa "autorizzazione del direttore o di un medico dell'istituto".
Nel 1978, la legge di Riforma psichiatrica, nota come legge Basaglia, e ancora, successivamente, i progetti obiettivo salute mentale del 1994 e del 1996, non hanno fatto alcuna menzione della contenzione fisica, come se di fatto il problema non esistesse più, o fosse di infima rilevanza.
A più di cento anni dalla normativa del 1904, e a circa trenta anni dalla legge di riforma psichiatrica del 1978, la questione della contenzione fisica ritorna, in tutta la sua virulenza, in occasione di episodi di abuso e/o di gravi eventi avversi, riaccende le polemiche tra psichiatri a diverso orientamento culturale e ideologico, e, di non minore importanza, suscita l'indignazione e lo sdegno dell'opinione pubblica.
Di fatto, ancora di recente (1999), il Comitato Direttivo di Bioetica del Consiglio d'Europa, a garanzia dei diritti del paziente ricoverato, ha ribadito che la contenzione e l'isolamento devono essere drasticamente ridotti e praticati solo in casi eccezionali, in mancanza di alternative, o in casi d'urgenza, ed essere limitati nel tempo.
La contenzione meccanica dei pazienti psichiatrici, nelle situazioni d'emergenza, resta, quindi, ancora oggi, una delle questioni più controverse e dibattute dell'assistenza psichiatrica, in Italia e nella Comunità internazionale.
Rileggendo la mozione del XII congresso della società italiana di freniatria (1904) e i contenuti rivoluzionari della legge di Riforma psichiatrica, e ponendo a confronto le attuali linee direttive del CDBI (1999), le odierne polemiche tecniche e politiche, si ha l'impressione che, per quel che riguarda la contenzione, le cose siano rimaste ferme a quel punto (Peloso et al. 2006).
Queste considerazioni inducono ad interrogarsi sulla ingenua attendibilità delle magnifiche sorti e progressive immaginate da E. Belmondo e da molti psichiatri dell'inizio del novecento, così come fanno riflettere sull'ottimismo della volontà degli estensori della legge di Riforma psichiatrica del 1978; d'altro canto, richiamano tutti gli operatori, impegnati sul campo, ad una analisi più attenta e ponderata delle pratiche di contenzione, immerse in "un silenzio dietro cui si celano le posizioni più varie, dal rifiuto ideologico al ricorso routinario" (Catanesi e Troccoli 2005).
A questo riguardo, molteplici ricerche in campo internazionale, soprattutto negli Stati Uniti, in Gran Bretagna e in Nord Europa, hanno indagato il fenomeno, e ne hanno misurato la consistenza, le caratteristiche, i gravi eventi avversi e gli abusi (Thompson, 1986; Currier et Allen 2000; Guedj M.J., Raynaud P.et al. 2004; Canon et al. 2001; CPT 2004). Da quelle ricerche, le Associazioni scientifiche di quei paesi (Royal college of nursing 1989; British Royal College of Psychiatrists, 1999; American Psychiatric Association, 2003) hanno preso spunto per aprire un ampio dibattito e per elaborare precise linee guida, al fine di minimizzare il ricorso alla contenzione meccanica, ai casi di estrema necessità, e per evitarne ogni forma di evento avverso e di abuso.
In Italia, invece, mancano, quasi del tutto, informazioni sistematizzate e ricerche mirate sulla realtà della contenzione nei servizi psichiatrici, e, in particolare, in quelli per acuti (Catanesi e Troccoli 2005; Spinogatti e Agrimi 2005).
Si conoscono, soltanto, singole ed estemporanee iniziative di "no restraint" realizzate da pochi Responsabili di SPDC (Toresini, 2005), in un contesto autoreferenziale, senza alcuna valutazione/o e accertamento basato su evidenze scientifiche (Raimondi, 2002). Inoltre, le poche iniziative di cui si è detto, per lo più, riflettono situazioni particolari, e di ambito locale (Mantova, Trieste, Caltagirone, Matera), difficilmente confrontabili con quelle dei grandi contesti urbani e metropolitani, dove il fenomeno contenzione, più spesso che altrove, tende ad assumere la connotazione di risposta standard a situazioni di pazienti a rischio di gesti auto o etero-lesivi (Allen e Currier 2004).
Da ciò derivano gli scontri accesi tra sostenitori di una contenzione comunque inevitabile e accaniti denigratori dello status quo, tutti basati su forti convinzioni personali e appartenenze ideologiche.
Tuttavia, una serie di articoli comparsi, tra il 2005 e il 2006, su riviste scientifiche italiane (Spinogatti e Agrimi, 2005; Catanesi e Troccoli, 2005; Pelosi et al. 2006; Tartaglione L.e Tartaglione S., 2006) ha riaperto una riflessione sulla contenzione in generale, e soprattutto nelle situazioni d'emergenza psichiatrica, sfidando un tabù consolidato da decenni di silenzio.
Il lavoro che qui presentiamo mira ad aprire una discussione critica su quello che accade nei fatti, in un contesto problematico e ricco di stimoli, qual è l'area metropolitana di Roma.
OBIETTIVI
Il soggetto promotore e organizzatore dell'iniziativa è stato il Coordinamento dei Servizi Psichiatrici di Diagnosi e Cura della Regione Lazio, in collaborazione con la cattedra di Psichiatria dell'Università La Sapienza di Roma. Questo organismo associativo, operativo sin dai primi anni '90, costituito dai medici, responsabili o delegati dei SPDC della Regione Lazio, ha svolto, con una costanza rara nella cultura psichiatrica italiana, un'azione continua di confronto e disamina dell'assistenza psichiatrica nei Servizi psichiatrici di emergenza del Lazio.
Ai fini della ricerca, il Coordinamento SPDC Lazio ha individuato un gruppo di lavoro e un coordinatore di progetto.
La ricerca è stata avviata presso tutti(1) i Servizi Psichiatrici di Diagnosi e Cura della Regione Lazio, considerati come parti di un sistema socio-urbanistico unitario.
L'aspetto peculiare del territorio laziale, caratterizzato sia da una notevole integrazione culturale e economica sia da una forte integrazione socio-sanitaria, e da un baricentro nella città di Roma, hanno permesso di considerare il territorio di riferimento quale area metropolitana di Roma.
Gli obiettivi della ricerca sono stati differenziati secondo piani gerarchici e temporali.
L'OBIETTIVO PRIMARIO, in senso sia gerarchico che temporale, è stato il raggiungimento di una conoscenza obiettiva del fenomeno contenzione meccanica nei Servizi di emergenza, sia in termini di quantità e di frequenza, sia in termini di durata.
OBIETTIVO ULTERIORE è stato la ricerca di possibili correlazioni tra le condizioni ambientali, sia strutturali che funzionali dei SPDC, e gli episodi di contenzione verificati.
OBIETTIVO FINALE dell'iniziativa, in fase di attuazione, resta la ricerca del tipo di azioni, condivise e partecipate dallo staff di ogni SPDC, che risultino idonee per:
* Riconoscere precocemente, e prevenire, gravi fenomeni di violenza, o di agitazione psicomotoria;
* Minimizzare l'uso della contenzione fisica alle sole situazioni in cui l'omissione potrebbe determinare un pericolo grave per l'incolumità del paziente, di altri pazienti, e/o degli operatori;
* Assicurare un uso della contenzione appropriato, in esecuzione di protocolli predefiniti (Goldberg, 1998).
MATERIALI E METODI
Nella raccolta dei dati sulle contenzioni effettuate in SPDC, e nella compilazione del questionario collegato, è stato garantito l'assoluto anonimato, sia per i pazienti interessati che per gli operatori, nel rispetto della tutela della privacy.
Le procedure adottate hanno reso non identificabile il Servizio di provenienza dei dati, tramite:
a. attribuzione ad ogni SPDC di un numero di identificazione, sconosciuto agli altri SPDC che partecipavano alla ricerca;
b. centralizzazione della raccolta dati presso il coordinatore responsabile della ricerca stessa, con obbligo di riservatezza, e distruzione dei documenti di identificazione dopo l'elaborazione dei dati;
c. classificazione in moduli numerici dei dati del questionario, onde evitare una identificazione indiretta.
Il questionario usato per raccogliere i dati utili alla ricerca è stato composto da ventuno (21) domande, finalizzate a:
* analisi quantitativa delle contenzioni effettuate nel periodo 1 gennaio - 30 aprile 2005 (nn. 1, 2 e 3);
* accertamento di procedure di monitoraggio delle contenzioni, di protocolli di applicazione, di training specifici di formazione per gli operatori (nn. 4, 5, 6 e 7);
* analisi e valutazione delle caratteristiche strutturali e funzionali dei SPDC (nn. 8, 9, 10, 11, 12, 13, 14 e 15);
* verifica della gestione di situazioni di emergenza comportamentale, a livello territoriale (crisis team o crisis home), o nel DEA - Pronto Soccorso di riferimento (crisis team in DEA) (nn. 16 e 17);
* analisi e valutazione quantitativa del bacino di utenza del SPDC e della domanda afferente (18, 19, 20 e 21).
La compilazione del questionario è stata effettuata dal Responsabile del SPDC, o dal delegato al Coordinamento SPDC, in stretta sinergia con il coordinatore del personale infermieristico.
La verifica dell'attendibilità delle risposte è stata effettuata con un processo di auditing nella sede del SPDC interessato, affidato ad una coppia di operatori (psichiatra - infermiere).
Le visite di audit sono state 18 su 21 SPDC partecipanti alla ricerca.
L'analisi statistica dei dati è stata realizzata con un approccio multivariato, applicando la regressione multipla lineare con metodica stepwise per la determinazione del modello finale. Il modello regressivo adottato considera le variabili descrittive dei SPDC quali variabili indipendenti e le variabili descrittive della contenzione come variabili dipendenti.
Le variabili descrittive dei SPDC sono state raggruppate, sulla scorta del loro contenuto e significato, in due blocchi descrittivi, separatamente, del territorio e dell'organizzazione del Servizio. Le variabili descrittive della contenzione sono state: il numero delle contenzioni, il numero dei soggetti contenuti e la durata media della contenzione (espressa in ore). Tale struttura dei dati ha pertanto richiesto la esecuzione di 6 diverse analisi (una per ciascuno dei due blocchi di variabili indipendenti su ciascuna delle variabili dipendenti).
La valutazione dei risultati (validità del modello e identificazione delle variabili indipendenti incluse nel modello finale) è stata eseguita applicando un valore di alpha=0,05 per l'accettazione delle Ho.
RISULTATI
Tabella 1.
La contenzione nei SPDC di Roma e del Lazio, nel periodo 1 gennaio 05 - 30 aprile 05
Caratteristiche delle contenzioni e variabili istituzionali.(2)

Il numero totale di contenzioni (Tabella 1) effettuate nei 21 SPDC della Regione Lazio, nel periodo campione, è stato di 557 casi.
La media delle contenzioni effettuate, per SPDC, risulta di 27 casi.
Il range del numero di contenzioni effettuate, nei 20 SPDC che le hanno applicate(3), è risultato assai variabile: da 1 a 74 contenzioni.
I tassi medi riscontrati sono stati:
* tasso di eventi contenzioni / 100 dimessi = 20,4
* tasso di eventi contenzioni / 100 giorni di degenza = 2,0
Il numero di pazienti contenuti (Tabella 1), nel periodo in esame, è stato di 304, con una media di n. 15 pazienti per SPDC.
Il range di pazienti contenuti è andato da un minimo di un paziente ad un massimo di 41 pazienti.
Il tasso medio di pazienti contenuti ogni 100 dimessi è stato di 11,10.
La durata degli eventi contenzione (Tabella 1) è risultata del tutto approssimativa, poiché, nella maggior parte dei casi, né la cartella clinica, né il registro contenzioni riportavano l'ora di inizio e l'ora di cessazione. La durata media dell'evento, che si è ricavata dalle risposte al questionario, è derivata, più in generale, dalla dichiarazione del compilatore, sulla base degli orientamenti esistenti nel SPDC.
La durata media delle contenzioni, con i limiti che si è detto, è stata di 16 ore.
Il range della durata è oscillato da un minimo di due ore ad un massimo di 60 ore.
Norme di buona pratica clinica (Tabella 1), su come e quando intervenire con la contenzione fisica del paziente, sono state riscontrate in tutti i SPDC partecipanti alla ricerca; queste, tuttavia, si caratterizzavano per la loro vaghezza e genericità.
Un protocollo scritto (Tabella 1) è stato riscontrato in 15 casi sui 20 SPDC che applicavano la contenzione, ma le indicazioni operative circa il perché applicarla, il come applicarla e gestirla, e per quanto tempo mantenerla, sono risultate assai diverse tra loro.
La documentazione della contenzione fisica (Tabella 1) avveniva, di norma, con annotazione sulla cartella clinica.
Un registro contenzione (Tabella 1) è risultato in funzione , da alcuni anni, presso 11 SPDC. Su di esso, abitualmente, sono riportati i motivi che hanno determinato l'intervento di contenzione, le misure assistenziali disposte per la cura del paziente, l'orario di inizio e di fine contenzione. I SPDC sprovvisti di un registro delle contenzioni hanno ricavato i dati attraverso l'esame delle cartelle cliniche, o, nei casi in cui non è stato possibile consultare le cartelle cliniche, attraverso la dichiarazione del Responsabile del Reparto.
I Training di formazione specifici (Tabella 1) per il riconoscimento precoce, la prevenzione e la gestione dei comportamenti violenti erano stati svolti da 5 SPDC su 21. Non è stata evidenziata formazione mirata al personale infermieristico di nuova assunzione.
Tra gli items descrittivi dei SPDC, rilevanti sull'atmosfera di reparto, sono risultati particolarmente interessanti i dati relativi a:
* qualità ambientale, riferita a sicurezza e confort dei reparti;
* esistenza di una leadership riconosciuta, e non solo formale;
* esistenza di un lavoro di gruppo tra i diversi operatori dello staff.
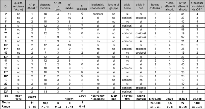
Tabella 2
La contenzione nei SPDC di Roma e del Lazio, nel periodo 1 gennaio 05 - 30 aprile 05.
Caratteristiche degli SPDC e del territorio di riferimento.(4)

La qualità degli ambienti di ricovero, sia in termini di confort che di sicurezza (Tabella 2), è stata dichiarata soddisfacente per 10 SPDC, appena sufficiente per 2 SPDC, insoddisfacente per 9 SPDC.
La leadership (Tabella 2) è stata formalmente riconosciuta nella gestione organizzativa di 15 SPDC, mentre una carenza di leadership è stata riferita in 6 SPDC.
La pratica di un lavoro di gruppo (Tabella 2) tra i diversi operatori dello staff (medici, infermieri, psicologi) è stata riscontrata in 13 SPDC, mentre un diffuso individualismo è risultato prevalere in 8 SPDC.
Tra gli items descrittivi del contesto territoriale dei SPDC sono emersi altri dati significativi:
Il bacino di utenza dei SPDC (Tabella 2)è risultato costituito, mediamente, da una popolazione di 250.000 abitanti, con un range da 105.000 abitanti a 461.000.
Il numero di CSM afferenti ai SPDC (Tabella 2)variava, in media, da 3 a 4 CSM, con un range da 2 a 6 CSM.
Il numero di TSO (Tabella ")afferenti ai SPDC è stato, in media, di 27 per ogni SPDC, con un range da 6 a 59 TSO. Il numero di TSO per ogni 100 dimessi è stato di 20 casi/100.
Il numero di accessi psichiatrici ai DEA/Pronto Soccorso (Tabella 2) è stato, mediamente, di 1400 accessi, con un range da 589 a 3475 accessi.
L'analisi di varianza applicata a ciascuno dei 6 modelli di regressione multipla studiati ne ha mostrato la validità di tutti (p<0,05): sia la struttura del Territorio che l'organizzazione del Servizio agiscono sul fenomeno contenzione.
La lettura dettagliata dei singoli coefficienti regressivi (e dei relativi test di significatività applicati a ciascuno di essi) evidenzia particolarmente il condizionamento del lavoro di gruppo (p=0,03), del numero di psicologici (p=0,04) e del numero di posti letto (p=0,03) sulla durata della contenzione.
Nessun elemento caratteristico e pregnante viene evidenziato nei modelli regressivi relativi alla struttura del Territorio al livello di alpha=0,05 prefissato; una riduzione dell'esigenza del valore di alpha=0,10 evidenzia (pur con le dovute cautele) l'influenza del numero di accessi al DEA/PS (p=0,08) sul numero di contenzioni e del numero di CSM afferenti al SPDC (p=0,08) sul numero di soggetti contenuti.
DISCUSSIONE
La ricerca, condotta dal Coordinamento SPDC della Regione Lazio nel periodo 1 gennaio - 30 aprile 2005, sulla frequenza e diffusione della contenzione fisica nei Servizi psichiatrici di urgenza, ha messo in evidenza:
* la cospicuità del fenomeno: 557 sono state le contenzioni dichiarate nel periodo considerato;
* l'uniforme diffusione: 20 su 21 SPDC applicavano, abitualmente, la contenzione;
* la diversa frequenza d'uso: da 1 a 74 contenzioni, per SPDC, sono state comunicate nel periodo;
* la variabilità di durata: da 2 a 60 ore è stato il range di durata per le contenzioni, e 16 ore è stata la durata media delle contenzioni.
Sia il numero assoluto delle contenzioni che i tassi di episodi di contenzione, 20 ogni 100 dimessi, come pure i tassi di pazienti sottoposti a contenzione, 11 ogni 100 dimessi, hanno evidenziato che il ricorso alla contenzione fisica avviene con una discreta frequenza e costanza.
Le forti variazioni nel numero di contenzioni per SPDC (range 1-74), così come le notevoli differenze nella durata delle contenzioni per SPDC ( range 2-60), hanno fatto ipotizzare una particolare rilevanza dei fattori istituzionali (organizzativi e professionali), fortemente differenziati tra i vari SPDC, quali fattori di rischio, rispetto alle caratteristiche dei pazienti, piuttosto uniformi nei vari SPDC, e certamente meno influenti sulla decisione di contenere i pazienti (Way et al. 1990; LeBel et al. 2004).
Queste prime osservazioni, pur nella considerazione di mancanza di dati certificati, hanno confermato la necessità di una migliore conoscenza degli eventi contenzione, sia in relazione ai fattori che la determinano (frequenza), sia di quelli che ne prolungano il mantenimento (durata).
I fattori di rischio contenzione, per quanto è acquisito dalle esperienze sul campo e dalla letteratura esistente, sono generalmente riferibili sia all'assetto strutturale , ambientale e organizzativo dei SPDC, sia alle caratteristiche del contesto urbano. Questi fattori possono influenzare la decisione degli operatori, indipendentemente dalle caratteristiche dei pazienti e della volontà manifesta degli operatori. Alcuni di questi fattori sono emersi in modo netto sia attraverso le risposte al questionario, sia nelle visite di auditing.
La sicurezza e il confort delle strutture di degenza, ai fini della stabilizzazione e benessere psicologico sia dei pazienti che dello staff (Gross et al. 1998; Gutkowski et al. 1992; Bowers et al. 2002), sono da lungo tempo riconosciute. Ben si comprende, quindi, l'influenza negativa di ambienti considerati da molti Responsabili dei SPDC globalmente insoddisfacenti, per mancanza di privacy, promiscuità, e rumorosità, sull'atmosfera di vita di molti reparti.
Il ricorso estremo, in alcuni casi, a misure restrittive, di fronte a proteste clamorose e dirompenti è un evento descritto e verificato.
La funzione di leadership in Servizi per loro natura caotici, dominati da istanze istintuali e regressive, e costretti ad un elevato turn-over di pazienti e operatori, è l'architrave su cui poggia identità e continuità di senso del processo terapeutico istituzionale (Okin 1985; APA et al. 2003; Huckshorn 2004). Le leaderships disfunzionali e frammentate, come si può verificare in servizi in cui manca una precisa definizione e attribuzione di responsabilità(5), possono favorire nei momenti più critici un ricorso a modalità da processo primario e la contenzione può diventare un passaggio all'atto risolutivo di altri conflitti.
Il lavoro di gruppo tra ruoli professionali diversi, medici, psicologi, infermieri e altri operatori (Murphy et al. 2005; O'Dea 2006), rappresenta la garanzia più forte per dare coesione a punti di vista differenziati e una integrazione contro i processi di disintegrazione dei comportamenti psicotici (Sangiorgio 1999; Ducci et al 2001). La strutturazione dei diversi ruoli professionali in sottogruppi corporativi, quando non contrastata da una forte leadership, alimenta istanze paranoiche e conflittuali e può lasciare spazio, nelle situazioni più critiche, ad angosce primarie di attacco e fuga.
Il gigantismo dei bacini di utenza dei SPDC, nell'area metropolitana di Roma, provoca effetti notevoli sulla qualità dell'assistenza. Se il bacino di utenza medio degli SPDC è di 200.000 abitanti, ben 6 SPDC hanno un bacino di riferimento superiore a 300.000 abitanti; e ciascun SPDC ha un rapporto, in media, con 3 Centri di Salute Mentale (ASP 2006).
Ne deriva che i SPDC, anche per la insufficienza di posti letto disponibili(6), sono costantemente in grandi difficoltà a gestire una quantità e qualità di problematiche psichiatriche, soprattutto in riferimento ai gravi stati di agitazione psicomotoria, mancando assai spesso qualsiasi informazione utile al trattamento del caso, da parte dei Servizi psichiatrici e sociali territoriali.
Il Trattamento Sanitario Obbligatorio, anche sotto forma di semplice proposta rappresenta una modalità particolarmente frequente per intervenire nelle situazioni di gravi crisi.
L'obbligo che ne deriva per lo staff curante, in termini di vigilanza, e di gestione di situazioni di opposizione alle cure, ostacola la creazione di una qualsiasi libertà di movimento e di relazioni democratiche. Le misure restrittive che ne conseguono, anche in termini di interdizione di oggetti comuni per la cura di sé, si riflettono pesantemente sui pazienti volontari e sugli operatori creando una tensione subliminale permanente.
L'incidenza di un alto numero di accessi psichiatrici, tipico dei grandi ospedali romani, impone tempi molto stretti nella gestione di emergenze comportamentali, e può favorire un ricorso sbrigativo a forme di contenzione fisica degli stati di agitazione più pericolosi, già nel momento in cui il paziente varca la soglia del Pronto Soccorso.
Una effettiva correlazione, tra numero delle contenzioni e loro durata e una serie di fattori relativi al modello organizzativo degli SPDC romani e contesto urbano e sociosanitario metropolitano, è stata confermata in modo statisticamente significativo dallo studio statistico condotto e di cui l'analisi di regressione multipla ha dato evidente dimostrazione.
CONCLUSIONI
La rilevanza del ricorso alla contenzione fisica nei SPDC dell'area metropolitana di Roma, per gravi emergenze comportamentali, e le generali condizioni di disagio e di rischio in cui gli operatori psichiatrici vi operano, rendono una strategia di prevenzione delle contenzioni particolarmente difficile e complessa.
La necessità di promuovere un virtuoso equilibrio tra necessità cliniche dei curanti e benefici per il paziente rappresenta, quindi, lo stretto varco in cui gli operatori devono quotidianamente agire perché la contenzione possa trovare, quando indispensabile, una sua legittimità terapeutica, etica e giuridica (Marini, Costantini et al, 1996).
L'esperienza fatta in 100 anni di psichiatria istituzionale, pur con le migliori intenzioni, e in costanza di norme restrittive e vincolanti (regolamento della legge manicomiale del 1909) e di precise leggi penali, evidenzia chiaramente che non sono tanto le norme prescrittive e le leggi, che mancano e che servono (Catanesi-Troccoli 2005).
Quello che serve è:
* l'elaborazione da parte delle Società Scientifiche di riferimento (SIP e coordinamento nazionale dei SPDC) di linee guida sulla contenzione e una forte azione per il loro riconoscimento formale e sostanziale ai fini dell'accreditamento delle strutture (Erlicher A, Rossi G. 1999).
* la messa in atto condivisa e partecipata, da parte di tutti gli operatori (medici , infermieri, psicologi) dello staff del SPDC, di procedure di monitoraggio e di audit, di protocolli e linee guida di prevenzione delle contenzioni, e di una corretta applicazione, nel caso di necessità (Spinogatti F, Agrimi E. 2005).
* la programmazione periodica di training formativi di tutti gli operatori attivi nei SPDC.
* un'azione coerente e dinamica degli operatori psichiatrici degli SPDC, in sinergia con le istanze di pazienti e le organizzazioni di advocacy, mirante a favorire un miglioramento sostanziale delle condizioni strutturali e organizzative dei SPDC.
Le esperienze condotte, in molti Paesi occidentali (Donovan et al. 2003; Currier G. W, et al. 2002), e gli standards di accreditamento vigenti negli USA ad opera della JCAHO (1996-2002), hanno dimostrato che la regolamentazione, e la standardizzazione delle procedure, unitamente alla realizzazione di training specifici per gli operatori, hanno portato a drastiche riduzioni del numero e della durata delle contenzioni fisiche, ed ad un significativo miglioramento della qualità dell'assistenza in situazioni d'emergenza.
A questo fine il Coordinamento dei SPDC del Lazio sta operando per definire, con una seconda fase di questa ricerca, linee guida in grado di sostenere gli operatori nelle loro scelte cliniche, tutelando nel contempo il rispetto e la dignità del paziente.
Infine, un ruolo decisivo nel miglioramento della qualità dell'assistenza e del rapporto terapeutico in senso lato potrà venire dall'ascolto dei vissuti dei pazienti, anche dopo esperienze traumatiche come la contenzione, e da una messa in discussione consapevole delle proprie azioni, da parte degli operatori psichiatrici d'emergenza, senza pudori e pregiudizio.
Acknowledgments. Gli autori sono grati al dott. R. De Sanctis per la costante collaborazione data durante tutta la durata della ricerca attraverso suggerimenti e critiche. Un ruolo determinante per la riuscita di questo lavoro è stato svolto dal gruppo "studio contenzione" a cui hanno partecipato, sia nella fase di preparazione che per l'auditing finale: S. Fontana, A. Fabbri, A. Ciaramella, F. De Palma, S. Kustermann, G. Hassan, G. Carbut, E. Chiaia, G. Elmo. La revisione statistico-epidemiologica è stata eseguita dal dott. S. Mosticoni.
BIBLIOGRAFIA
* Allen MH, Currier GW. Use of restraints and pharmacotherapy in academic psychiatric emergency services. Gen Hosp Psychiatry 2004, ; 26:42-49
* American Psychiatric Association, American Psychiatric Nurses Association, National Association of Psychiatric Health Systems. Learning from each other: success stories and ideas for reducing restraint/seclusion in behavioural health. 2003
* Bowers L. et al. Safety and security policies on psychiatric acute admission wards. Journal of psychiatric and mental health nursing 9, 427-433, 2002
* Canon ME, Sprivulis P, McCarty J. Restraint practices in Australasian emergency departments. Austr NZJ Psychiatry 2001; 35:464-7.
* Catanesi R, Troccoli G. Dietro il velo, ovvero responsabilità professionale e contenzione fisica in psichiatria. Lo psichiatra,1, n.1, Milano , 2005
* Comitato nazionale di bioetica sul Libro Bianco del Consiglio d'Europa dedicato al trattamento dei pazienti psichiatrici. 24 settembre 1999
* Currier GW, Farley-Toombs C. Datapoints: use of restraints bifore and after implementation of the new HCFA rules. Psychiatr Serv 2002; 53: 138
* De Girolamo G, Tansella M. Psychiatric Units in general hospitals. Problems and perspectives in Europe.. Epidemiologia e psichiatria sociale. Vol. 15, n.2, 85-90, 2006
* Donat DC. An analysis of successful efforts to reduce the use of seclusion and restraint at a public psychiatric hospital. Psychiatr Serv 2003; 54:1119-1123.
* Donovan A, Plant R et al. Two year trends in the use of seclusion and restraint among psychiatrically hospitalized youths. Psychatric services, 54: 987-993, 2003
* Ducci G, Antonucci A, Zani R. Operare in equipe in spdc. Il ruolo specifico dello psicologo. Psichiatria e Psicoterapia analitica, Vol. XX, n. 1, 67-75, 2001.
* Erlicher A, Rossi G. Manuale di accreditamento professionale per il Dipartimento di salute mentale, 222-235, 1999.
* European committee for the prevention of turture and inhuman or degrading treatment of punishement.Vist report, Niuvanniemi hospital, CPT/inf (2004), Strasburg: Council of Europe: 2004
* Evans D, Wood J, Lambert L. Physical restraint. Best Practice 2002; 3: 1-6
* Goldberg SL: Legal aspects of restraint use in Hospitals and nursing Homes. H.E.C. Forum, 10/3-4: 276-289, 1998
* Gross R, Sasson Y, Zarby M & Kohar J. Healing environment in psychiatric hospital design. General Hospital Psychiatry 20, 108-114, 1998
* Gutkowski S, Ginath Y. & Guttmann F. Improving psychiatric environments through minimal architectural change. Hospital & Community Psychiatry 43, 920-923, 1992
* Huckshorn KA. Reducing seclusion and restraint in mental health use setting. J Psycosoc Nurs Ment Health Serv. 2004; 42: 22-33
* Joint Commission on accreditation of healthcare organization (JCAHO), 1996 Comprehensive Accreditation Manual for Hospitals, Restraint and seclusion standards TX 7.1 - 7 x 7 .1.3.3, Oakbrook Terrace, IL: JCAH; 1997.
* Ionikas IA, Cook JA, Rosen C, et al. Brief reports: a programme to reduce use of physical restraint in psychiatric inpatients facilities. Psychiatr Serv , 55; 818-820, 2004
* Laziosanità - Agenzia di sanità pubblica. L'attività di ricovero ordinario e di day hospital nei reparti psichiatrici del Lazio. 2006
* LeBel J, Stromberg N, Duckworth K, et al. Child and adolescent inpatient restraint reduction: a state initiative to promote strength-based care. J Am Acad Child Adolesc Psychiatry. 2004;4:43.
* Murphy T, Bennington-Davis M. Restraint and Seclusion: The model for eliminating their use in healthcare. Marblehead, Mass: HC Pro Press; 2005
* O'Dea R. Moving from coercion to collaboration in mental health services. Substance abuse and mental health services administration. 2006
* Okin R. Variation among state hospitals in the use of seclusion and restraint. Hosp Community Psychiatry. 1985;36:648.
* Peloso PF et al. Considerazioni storiche e attualità in tema di contenzione fisica. Gruppo di studio sulla contenzione della Sezione regionale ligure della SIP. http://www.sipligure.it/considerazione_storiche_cont_fisica.htm 2005
* Raimondi R. Nodi critici dell'assistenza psichiatrica ospedaliera. Giornale italiano di psicopatologia, Vol. 8,issue 2, 2002
* Sangiorgio P. Equipe curante e ambiente terapeutico nei SPDC: verso un'ipotesi di comunità reparto. Psichiatria e psicoterapia analitica, Vol. XVIII, n.4, 350-362, 1999
* Sangiorgio P. Emergenze psichiatriche e psichiatria d'urgenza. Studio di follow-up 1999-2001 nel Lazio:considerazioni e proposte. Psichiatria e psicoterapia, Vol XXIII, n. 2, 126-141, 2004
* Spinogatti F, Agrimi E. La contenzione: revisione della letteratura sulle strategie di minimizzazione e sugli eventi avversi. Quaderni italiani di psichiatria, XXIV: 43-51, 2005
* Thompson P. The use of seclusion in psychiatric hospitals in the Newcastle area. British Journal of Psychiatry, 149: 471-4, 1986.
* Toresini L (a cura di). SPDC aperti e senza contenzioni. Fogli d'informazione n. 203, 2005
* Way BB, Banks SM: Use of seclusion and restraint in public psychiatric hospitals: patient characteristics and facility effects. Hospital and Community Psychiatry 41:75-81, 1990[Medline]
Pietro Sangiorgio ASL RMH1, Dipartimento di Salute Mentale. Frascati (Roma)
Cinzia Sarlatto Clinica Psichiatrica, Università degli Studi di Roma "La Sapienza"
Per la corrispondenza:
Pietro Sangiorgio Dipartimento di Salute Mentale,
Via E. Fermi - 000444 Frascati
e-mail: p_sangiorgio@yahoo.it
Note:
1) Alla ricerca hanno aderito tutti i 22 servizi psichiatrici di diagnosi e cura della Regione, con un'unica eccezione, peraltro non motivata.
2) n. anonimo che identifica il SPDC che partecipa alla ricerca
^ con questo segno sono stati caratterizzati i SPDC, mancanti di registro, in cui i dati sulle contenzioni sono stati raccolti dalle cartelle
* l'asterisco indica quei SPDC, mancanti di registro, in cui i dati sulle contenzioni sono approssimati risultando da una semplice dichiarazione del responsabile
In grassetto sono individuati i SPDC in cui è stato effettuato un audit
3) Uno dei SPDC, partecipanti alla ricerca, non applicava in linea di principio, la contenzione, e per questa ragione non se ne è tenuto conto nel calcolo del range delle contenzioni; se ne è tenuto conto, invece , nel calcolo di media delle contenzioni e tassi.
4) I SPDC sono stati classificati in tre ordini di grandezza a seconda del n° di posti letto:
1. p.l. da 13 a 15
2. p.l. da 10 a 12
3. p.l. < 9
Il bacino di utenza, a seconda della popolazione afferente è stato così classificato:
1. pop. < 150000
2. tra 150000 - 200000
3. tra 200000 - 300000
4. tra 300000 - 400000
5. pop. > 400000
Gli accessi psichiatrici ai DEA/P.S. sono stati così classificati:
1. accessi < 1000
2. tra 1000 - 1500
3. tra 1500 - 2000
4. tra 2000 - 3000
5. accessi > 3000
5) Molti SPDC della Regione Lazio non avevano al momento dell'indagine un dirigente di funzione apicale, per problemi di natura organizzativa e politica; così pure diversi coordinatori di operatori professionali risultavano provvisori e di formazione generica.
6) Lo standard di posti letto psichiatrici, stabilito nei progetti obiettivo, è di 1/10.000, ma la situazione romana, soprattutto nell'area metropolitana, è gravemente carente, con un tasso di posti letto di 1/20.000 (Sangiorgio 2004).
PM
--> HOME PAGE ITALIANA
--> ARGOMENTI ED AREE
--> NOVITÁ
--> CENTRI RIABILITAZIONE
|